Viemäripumppu diesel
IBECO viemäripumput ovat täydellisiä vesihuoltoremontteihin tai altaiden tyhjentämiseen jätevedenpuhdistamoilla. Yhdessä CHERNE-putkitulpan kanssa virtauksen ohjaaminen sivuuttaen on helppoa.
Tiedoksi
- Itseimevä
- Kuivakäynti ei vahingoita pumppua
- Vahva rakenne
Huom!
Selwoodin pumput voidaan käyttää sekä HVO100- että dieselkäytössä ilman että pumpun suorituskyky kärsii.
Viemäripumppu
TuotenumeroVuokraus
|
Painokg
|
EffektikW
|
KierrosnopeusRPM
|
Liitos sis/ulosmm
|
Läpivirtausmm
|
PainekorkeusM
|
Kapasiteettil/sek
|
Kapasiteettil/min
|
Kapasiteettim3/h
|
Ostoskori
|
---|---|---|---|---|---|---|---|---|---|---|
S140
|
1750
|
23
|
1800
|
100
|
75
|
29
|
50
|
3000
|
180
|
|
S150
|
1880
|
32
|
1600
|
150
|
100
|
21,3
|
89
|
5340
|
320
|
|
S150M
|
3150
|
100
|
2000
|
200/150
|
76
|
70
|
200
|
12000
|
730
|
|
S150T5
|
1768
|
42
|
1800
|
150
|
100
|
28
|
92,5
|
5550
|
333
|
|
S200
|
2450
|
55
|
1800
|
200
|
100
|
25
|
122
|
7320
|
440
|
|
Kuivauspumppu
TuotenumeroVuokraus
|
Painokg
|
EffektikW
|
KierrosnopeusRPM
|
Liitos sis/ulosmm
|
Läpivirtausmm
|
PainekorkeusM
|
Kapasiteettil/sek
|
Kapasiteettil/min
|
Kapasiteettim3/h
|
Ostoskori
|
---|---|---|---|---|---|---|---|---|---|---|
D160
|
1892
|
36
|
2200
|
150
|
45
|
48
|
108
|
6500
|
390
|
|
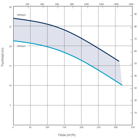
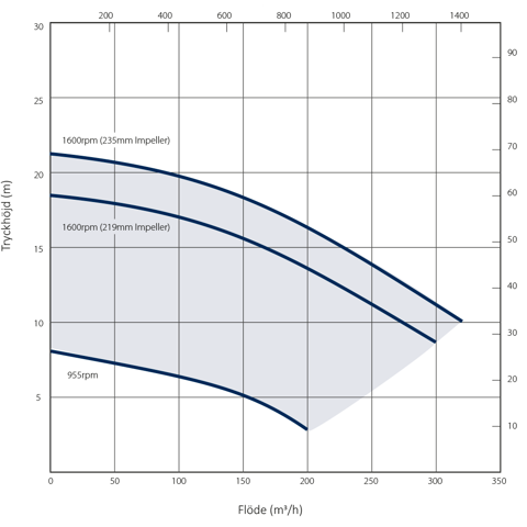
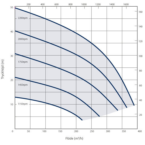
Pumppukäyrät
S140

S150T5

S150

S150M

S200 Eco 5

D160
